Anbieter zum Thema
Der Praxistipp: Schon jetzt umstellen
Der IE4-Synchron-Reluktanzmotor ist zweckmäßig im Paket mit dem passenden Frequenzumrichter zu beschaffen und zu betreiben. Er wird in zwei Auslegungen angeboten: entweder mit hohem Wirkungsgrad oder mit kleiner Baugröße. Wegen seines hohen Wirkungsgrades besonders auch im Teillastbereich, ist er für Pumpen- und Lüfterantriebe, die mit hohen Betriebsstundenzahlen, aber auch oft im Teillastbereich laufen, bestens geeignet. Er kann aber auch gegen das volle Bemessungsmoment anlaufen, wie das zum Beispiel bei Kompressoren gewünscht wird. Drehzahlvariable Antriebe mit diesem Effizienz-Paket amortisieren sich meist schon in weniger als zwei Jahren.
Der Trend zum Synchron-Reluktanz-Paket wird auch durch die zwingende Umsetzung der EU Richtlinie EG640/2009 gefördert, die ab 2017 höhere Wirkungsgrade vorschreibt und durch das Förderprogramm der Bundesregierung den Mittelstand unterstützt [7]. Bei weiter steigenden Energiekosten kann man schon jetzt sparen.
Sparen Sie schon jetzt und stellen Sie Ihre Antriebe um!
Das Prinzip des Reluktanzmotors
Ein drehbar gelagerter Streifen aus Eisenblech stellt sich in einem Magnetfeld parallel zum Verlauf der Feldlinien ein (d-Achse). Wird er aus dieser Richtung um einen Winkel ϑ herausgedreht, entstehen Rückstellkräfte und das Reluktanzdrehmomente T. Gleiches erfährt der Läufer eines modernen Reluktanzmotors, wie man aus dem Verlauf der Magnetlinien ersehen kann.
Die Spannungsgleichung
Das Betriebsverhalten von Drehfeldmotoren kann sehr gut aus der Stromortskurve abgelesen werden, die man aus der Spannungsgleichung des Motors ableitet. Zur besseren Übersicht werden der Wirkwiderstand R1 der Ständerwicklung und die Sättigungseinflüsse im Läufer des Synchron-Reluktanzmotors vernachlässigt.
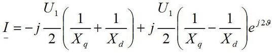
Die Spannungsgleichung erhält man zu:
und gewinnt daraus die Stromgleichung mit den beiden Komponenten zu:
vereinfacht dargestellt:
Die Stromortskurve
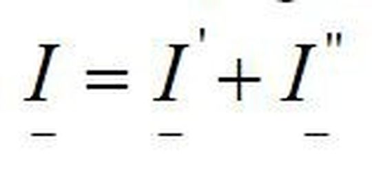
Der Ständerstrom setzt sich aus zwei Komponenten zusammen. Die Stromkomponente I’ ist bei gegebenem Motor eine feste Größe und ihr Betrag nur von der Netzspannung U1 und den Reaktanzen Xd und Xq abhängt. Die Komponente I’’ hat ebenfalls eine feste Länge (Betrag), ändert allerdings in Abhängigkeit vom Polradwinkel 2 also von der mechanischen Belastung) die Phasenlage und durchläuft einen Kreis. Beim Winkel p ϑ = 45° wird das Kippmoment erreicht. Die Verhältnisse zeigen die Abbildung 1 ( der Ständerwirkwiderstand R1 und Sättigungseffekte sind vernachlässigt).
(ID:42713837)


