Elektrische Antriebe Elektrische Antriebssysteme – Grundlagen und Aufbau
Antriebssysteme sind für die Bereitstellung mechanischer Bewegungsenergie die treibenden Kräfte bei der Realisierung von industriellen Prozessen.
Anbieter zum Thema

Die verschiedenen technologischen Verfahren fordern angepasste Lösungen, die die notwendigen Bewegungsabläufe realisieren sollen. Als Antriebsmittel gibt es dafür mehrere Möglichkeiten wie zum Beispiel Verbrennungs-, Hydraulik-, Pneumatik- oder Elektromotoren.
Der elektrische Antrieb hat sich aufgrund vieler Vorteile ein großes Feld an Anwendungen erobert. Umweltfreundlichkeit, gute Transportierbarkeit der notwendigen Energie auch über große Entfernungen, guter Wirkungsgrad bei der Umwandlung von elektrischer in mechanische Energie, hohe Verfügbarkeit sowie einfache Rückführung und Nutzung anfallender Bremsenergie sind nur einige davon.
Aber auch wenn die Bewegung durch hydraulische oder pneumatische Antriebe realisiert wird, steht am Anfang oftmals ein Elektromotor, der die Primärenergie in mechanische Energie wandelt, so dass eine Umwandlung am Ort des Geschehens nicht mehr notwendig ist.
Der Elektromotor: Umwandlung der Energieform
Im Mittelpunkt des elektrischen Antriebs steht der Elektromotor als Wandler von elektrischer in mechanische Energie. Bezüglich der Bewegungsart kann man zwei Motorprinzipien unterscheiden:
- Rotative Motoren zur Erzeugung von Drehbewegungen
- Linearmotoren zur Erzeugung von linearen Bewegungen
Beim rotativen Motor wird die an der Motorwelle zur Verfügung stehende mechanische Leistung durch das von ihm erzeugte Drehmoment M und seiner Drehzahl n bestimmt.
Beim Linearmotor ergibt sich die mechanische Leistung durch die äquivalenten Größen erzeugte Kraft F und Geschwindigkeit v.
Elektromotor
Wie fit sind Elektroantriebe für die Zukunft?
Das Stellgerät: Steuern von Drehzahl und Geschwindigkeit
Der Elektromotor ist, bis auf eine Ausnahme, ohne äußere Beschaltung oder Zusatzgeräte in seiner Drehzahl bzw. Geschwindigkeit nicht steuerbar. Im einfachsten Fall ist er mit dem Versorgungsnetz über Schalteinrichtungen zum Ein- und Ausschalten sowie Schutzeinrichtungen zum Schutz bei Kurzschluss und Überlast direkt verbunden.
Möchte man den Motor und somit auch den Prozess drehzahl- beziehungsweise. geschwindigkeitsvariabel betreiben, gibt es dafür, in Abhängigkeit des elektromagnetischen Motorprinzips, verschiedene Stellgeräte.
Die Drehzahl beziehungsweise Geschwindigkeit von Asynchron- und Synchronmotoren ist unter anderem von der Frequenz der sie speisenden Spannung abhängig. Die Wechselspannung des Versorgungsnetzes hat eine konstante Frequenz. Somit ist auch die Motordrehzahl beziehungsweise -geschwindigkeit konstant.
Frequenzumrichter, zwischen Versorgungsnetz und Motor geschaltet, wandeln diese „starre“ Netzspannung zunächst in eine konstante Gleichspannung um und erzeugen daraus wiederum eine variable Ausgangsspannung für den Motor. Sowohl deren Höhe als auch deren Frequenz, und somit die Motordrehzahl beziehungsweise -geschwindigkeit, sind dadurch stufenlos einstellbar.
Die Drehzahl von Gleichstrommotoren ist unter anderem von der Höhe der sie speisenden Gleichspannung abhängig. Für einen drehzahlvariablen Betrieb werden Stromrichter zwischen das Versorgungsnetz und den Motor geschaltet. Sie erzeugen aus der Wechselspannung des Versorgungsnetzes eine variable Gleichspannung und somit eine stufenlos einstellbare Drehzahl.
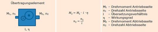
Das Übertragungselement: Anpassung der Bewegungsgrößen
Die am Abtriebselement beziehungsweise in der Anwendung benötigte Drehzahl ist in den meisten Fällen kleiner als die vom rotativen Motor zur Verfügung gestellte. Motoren können mit wirtschaftlich vertretbarem Aufwand und auf Grund ihres elektromagnetischen Prinzips nur in bestimmten Drehzahlabstufungen hergestellt werden. Um für die Vielfalt der Drehzahlanforderungen eine optimale Anpassung vornehmen zu können, gibt es dafür verschiedenste Übertragungselemente wie beispielsweise Zahnrad-, Keil-, Flach oder Zahnriemengetriebe. Sie wandeln das vom Motor zur Verfügung gestellte Drehmoment M1 und die Drehzahl n1 auf der Antriebsseite in das Drehmoment M2 und die Drehzahl n2 auf der Abtriebsseite um.
Das Abtriebselement: Umwandlung der Bewegungsart
Die in einer Maschine letztendlich zu realisierende Bewegungsart kann sowohl rotativ als auch linear sein. Lüfter, Pumpen oder Bohrer erfordern zum Beispiel eine rotative Eingangsbewegung. In solchen Anwendungsfällen kann also die Bewegungsart des rotativen Motors genutzt werden. Ist jedoch die gewollte Abtriebsbewegung linear, zum Beispiel bei der Winde eines Krans oder dem Fahrantrieb eines Transportwagens, ist zur Umwandlung einer rotativen Motorbewegung in eine lineare Abtriebsbewegung ein Abtriebselement erforderlich. Dies kann beispielsweise eine Seiltrommel, ein Rad oder eine Walze sein. Es wandelt das Drehmoment M in eine Kraft F und die Drehzahl n in eine Geschwindigkeit v um.
Linearmotoren werden in der Regel zur direkten Nutzung der von ihnen erzeugten Bewegungsart eingesetzt. Eine weitere mechanische Umwandlung in andere Bewegungsarten ist selten.
Elektrischer Antrieb für drehzahlvariablen Betrieb
Die Zusammenstellung zeigt beispielhaft einen Antriebsstrang für den geschwindigkeitsvariablen Betrieb eines Transportgutes über eine Walze. Die Darstellung ist stark vereinfacht und zeigt nur die Hauptelemente.
In Abhängigkeit der Genauigkeitsanforderung an die Drehzahl kann zum Beispiel deren Erfassung und Rückführung auf das Stellgerät für einen geschlossenen Regelkreis notwendig sein. Verschiedene Motorregelverfahren im Stellgerät ermöglichen weitere Optimierungen in Bezug auf das Drehmomentverhalten des Motors.
(ID:44863709)



